#XMOJ11275. 全方位神童数
全方位神童数
说明
时间限制:1 Sec
内存限制:256 MB
输入文件:prodigy.in 输出文件:prodigy.out
小明得到了一棵由顶点 $1,2,...,N$ 构成的树 $T$。树 $T$ 的每个顶点 $i$ 上都已经写有数值 $i$。
小明决定将树 $T$ 视为有根树来玩游戏。
对于有根树,小明定义:当顶点 $i$ 上写的数值大于其所有祖先(不包含自身)顶点上的数值时,顶点 $i$ 称为神童。特别地,根节点一定是神童。
小明将 $N$ 个顶点中神童的数量定义为神童数。(请注意:每个顶点是否为神童,取决于选择哪个顶点作为根节点)
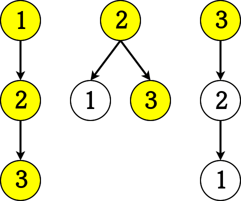
例如考虑下图所示的有根树,黄色顶点是神童,神童数为 $4$。

其中写有数值 $6$ 的顶点是神童,因为它的祖先顶点数值为 $\{3,1\}$,均小于 $6$;
而写有数值 $4$ 的顶点不是神童,因为它的祖先顶点数值为 $\{3,7\}$,包含比 $4$ 大的数值。
小明发现树 $T$ 的神童数会随根节点的选择而变化,因此他向你询问:对于每个顶点 $i (i=1,2,...,N)$ 作为根时的神童数 $S_i$ 是多少。
由于需要给出的数值太多,小明要求你计算数列 $r=\{r_1,r_2,...,r_N\}$ 对应的乘积:$(r_1+S_1) \times (r_2+S_2) \times ... \times (r_N+S_N)$,并将结果对 $10^9+7$ 取模后告诉他。
输入格式
第一行输入树的顶点数 $N$;
第二行输入用于计算答案的数列 $r$ 的 $N$ 个元素(空格分隔);
接下来 $N-1$ 行,每行输入两个整数 $u, v$,表示树 $T$ 中连接顶点 $u$ 和 $v$ 的无向边。
注意:输入数据量可能较大,请留意处理效率。
输出格式
输出 $\prod_{i=1}^N(r_i+S_i) \mod (10^9+7)$ 的结果,占一行,末尾需换行。
样例
样例 1
3
0 0 0
1 2
2 3
6
样例说明:
以顶点 、、 分别为根时的神童数依次为 、、,乘积为 。

样例 2
3
0 0 0
1 3
3 2
4
样例说明:
以顶点 、、 分别为根时的神童数依次为 、、,乘积为 。

样例 3
20
397391841 679700971 145606697 977415091 513786611 99670444 666370425 151199845 823785563 113697511 311512752 592551093 141690528 337950684 441783513 543190271 462296398 851050627 141769971 473127767
17 19
18 11
19 6
20 8
8 16
20 3
13 9
11 10
15 8
11 20
17 18
14 8
1 20
2 5
11 7
11 4
5 20
1 12
2 13
598344873
样例说明:
需注意结果需对 取模。
数据范围
对于 24% 的数据,$N \le 3000$。
另有 24% 的数据,输入的树是一条链。
对于 100% 的数据,$1 \le N \le 2\times 10^5$,$0 \le r_i \lt 10^9+7$,$1 \le u_i,v_i \le N$。
对于 100% 的数据,输入的图保证是一棵包含 $N$ 个顶点的树。
相关
在下列比赛中: